Размер шрифта:
A
A
A
Коммунальное государственное учреждение «Общеобразовательная школа №4» отдела образования города Балхаш управления образования Карагандинской области
Версия для слабовидящих
Ru
Kz
Вход
Главная
Школы
Детские сады
О температурном режиме занятий в организациях образования в зимний период
Рабочий учебный план школы
Қазақ тілін оқуға арналған порталдар
Главная
Воспитательный центр
Воспитательный центр
Адал ұрпақ
Попечительский совет школы
Школьный Парламент
Антитеррор
Антитеррор
Правовой всеобуч и педагогическая этика
Внутришкольный контроль
Администрация Школы
Прием в 1 класс
Новости
Итоговая аттестация
ЕНТ
Итоговая аттестация учебного года
Летняя школа 2023
Пришкольный лагерь - 2023
Нормативно-правовые акты
Правила внутреннего распорядка
Паспорт школы
Паспорт школы
История школы
Государственные услуги
Электронный прием в 1 класс
Правила оказания государственных услуг
ИНФОГРАФИКА
Отчет по оказанию государственных услуг
Перечень электронных государственных услуг
Коллектив школы
Педагогический состав
Совместители
Вспомогательный персонал
Профсоюз школы
Школьное питание
Открытый бюджет
Блог директора школы
Доклады директора
Слова поздравления
Вопрос - ответ
Противодействие коррупции
Информация для родителей учащихся
Профориентация
Электронный дневник
Вакансии КГУ ОШ № 4
Методический центр
Информационно-библиотечный центр
Работа с населением
Балхаш
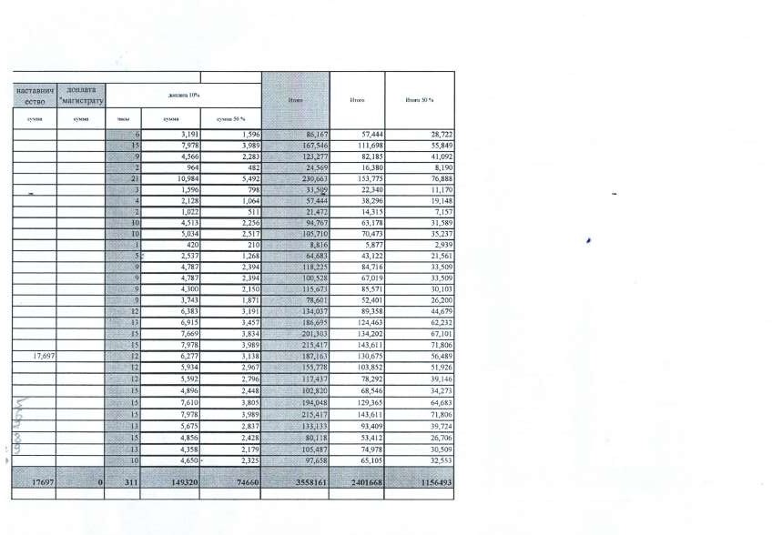
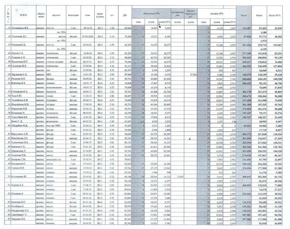
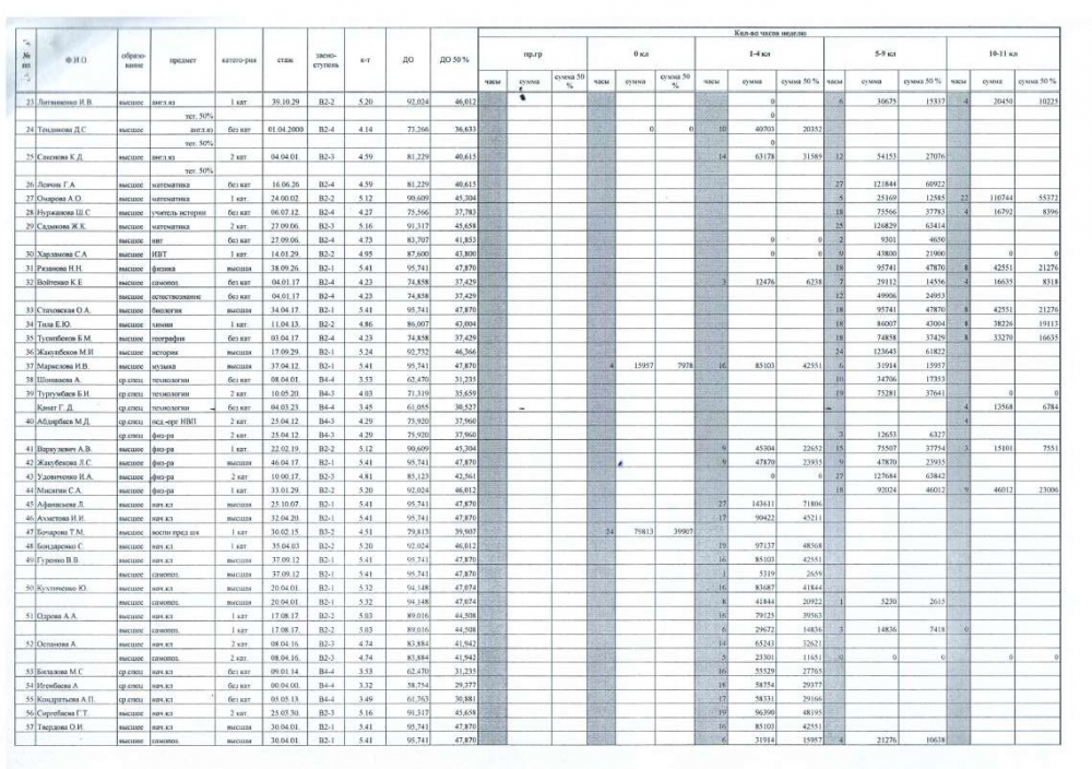
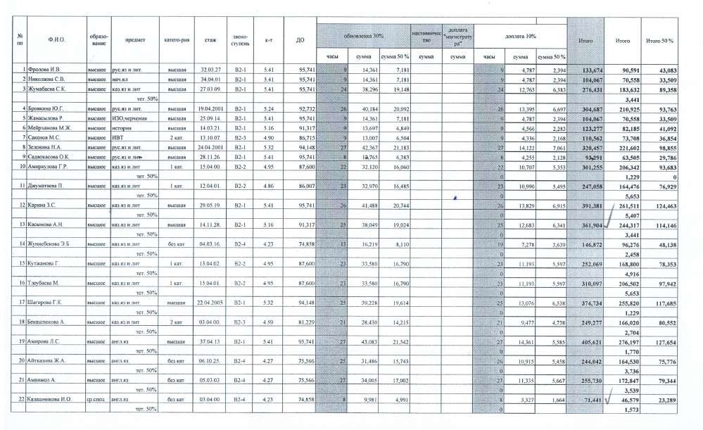
Штатное расписание и тарификационный список 2021 г.
Дата:
2021-06-16 14:50:04
Автор:
СШ №4
Назад